Định luật cu lông, một trong những phát minh vô cùng vĩ đại của loài người, được nghĩ ra bởi nhà bác học nổi tiếng người Pháp có tên là Coulomb. Bởi nó ảnh hưởng rất nhiều đến với ngành vật lý nói riêng và lịch sử nhân loại nói chung. Và nếu như bạn đang đi tìm hiểu về một trong những phát minh vĩ đại của nhà bác học lỗi lạc mang tên Coulomb này, vậy thì hãy cùng đọc bài viết dưới đây ngay nhé.
Tìm hiểu về định luật cu lông
Định luật cu lông là định luật nói lên lực hút hay lực đẩy giữa 2 điện tích điểm nằm trong chân không có phương trùng với đường thẳng nối giữa 2 điện tích, có độ lớn tỉ lệ thuận với tích của 2 điện tích và tỉ lệ nghịch với bình phương khoảng cách.
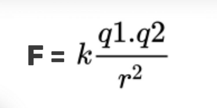
Công thức
Công thức của định luật cu lông thì cực kỳ đơn giản và dễ nhớ khi chỉ xuất hiện có 3 đơn vị khác nhau. Trong đó: k là hệ số tỉ lệ ( có độ lớn là 9.10^9 N.m^2/C^2), r là khoảng cách giữa hai điện tích ( đơn vị là mét), q1, q2 lần lượt là độ lớn điện tích của hai hạt (đơn vị là C), e là hằng số điện môi của môi trường. Ở môi trường bình thường thì e sẽ bằng 1.

Phát biểu
Lực hút hay đẩy giữa hai điện tích được đặt bên trong môi trường có phương trùng với đường thẳng nối hai điện tích đó, tỉ lệ thuận với tích của hai điện tích q1, q2 và tỉ lệ nghịch với bình phương khoảng cách giữa 2 điện tích. Trong môi trường chân không thì e=1 và e luôn có giá trị lớn hơn hoặc bằng 1.
Hằng số điện môi là gì?
Để có thể sử dụng được định luật Coulomb, ngoài những đơn vị về độ lớn của điện tích, khoảng cách giữa chúng thì bạn còn cần phải xác định được môi trường thực hiện. Từ môi trường thực hiện đó mà bạn có thể tìm ra được hằng số điện môi một cách chính xác nhất.
Vậy hằng số điện môi là gì? theo điện từ học, hằng số điện môi hay còn được gọi là độ điện thẩm tương đối của một môi trường chính là tỉ số của độ điện thẩm tuyệt đối của nó với độ điện thẩm của chân không. Và nhờ vào điều đó, mà người ta đã lập lên được bảng các hằng số điện môi cho tất cả mọi người có thể theo dõi.
Như đã nhắc đến ở trên, hằng số điện môi của không khí là 1 cho nên khi tính lực điện từ, các bạn có thể bỏ qua hằng số này cũng được. Còn đối với những môi trường khác, bạn tuyệt đối cần phải nhân thêm nó vào. Ví dụ, với giấy e = 1.4, bê tông thì e = 4.5, thủy tinh e = 4.7, cao su e = 7, …

Nguyên lý chồng chất lực điện cần biết
Trong định luật Coulomb, thì nói rất nhiều đến lực điện. Và nguyên lý chồng chất lực điện cũng được xem là một nguyên lý quan trọng giúp bạn có thể tính được tổng lực điện của tất cả các hạt tải điện. Và nếu như bạn vẫn chưa biết lựa chọn cách tính nào phù hợp cho bài toán của mình, vậy có thể tham khảo các trường hợp dưới đây.
Tổng quát
Với một bài toán cho điện tích q0 và tính lực điện do q1, q2 tác dụng lên nó thì trong tất cả mọi trường hợp bạn có thể áp dụng được công thức tính vector như sau : F0 = F10 + F20. Còn theo công thức tính giá trị tổng quát cũng được áp dụng trong tất cả mọi trường hợp:

Cùng phương, cùng hướng
Với bài toán cho điện tích q0 và tính tổng lực điện mà q1, q2 tác động lên nó, cho biết lực điện mà 2 điện tích này là cùng phương, cùng hướng. Với trường hợp này, bài toán của bạn sẽ được tính cực kỳ đơn giản khi đầu tiên chỉ cần tính lực điện F10, F20 tương tự với q1, q2 lên q0.
Sau khi đã tính được F10 và F20, việc tính tổng lực điện mà điện tích q1, q2 tác động lên q0 là cực kỳ đơn giản. Bản chỉ việc cộng hai lực điện đó lại là ra được đáp số cuối cùng với đơn vị là N nhé.
Cùng phương, khác hướng
Cũng tương tự với bài toán ở trên, tuy nhiên để bài lại thay đổi từ cùng phương, cùng hướng thành cùng phương, khác hướng. Đầu tiên, bạn cũng cần phải tính được cho mình các lực điện mà điện tích q1, q2 đã tác động lên điện tích q0 lần lượt là F10 và F20 nhé.
Sau khi đã tính được các giá trị F10 và F20, bạn sẽ cần phải tính tổng lực điện tác động lên q0 theo công thức F10 – F20. Sau khi ra được kết quả, bạn sẽ lấy trị tuyệt đối của nó, tức là nếu nó ra một giá trị dương bạn sẽ lấy luôn giá trị đó. Còn nếu nó ra giá trị là âm thì việc của bạn sẽ là chuyển nó về giá trị dương là xong.
Phương vuông góc
Một trường hợp mà rất hay gặp phải khi rơi vào bài toán cho điện tích q0 và tính tổng lực điện mà hạt q1, q2 tác động lên nó theo phương vuông góc. Cũng tương tự như các trường hợp ở trên, bước đầu tiên bạn cũng cần phải xác định được các lực điện tác động lên q0, sẽ là F10 và F20.
Sau khi đã tìm được 2 lực điện F10 và F20 thì bạn sẽ cần phải tính tổng lực điện theo công thức: căn bậc hai của tổng bình phương. Tức là, đầu tiên bạn sẽ tính giá trị bình phương của hai giá trị F10 và F20, tiếp đó lấy 2 số đó cộng lại và cuối cùng là lấy giá trị căn bậc hai của tổng đó. Và giá trị cuối cùng này sẽ chính là đáp án cuối cùng, là tổng lực điện mà 2 điện tích q1, q2 tác động lên hạt q0.
Hợp một góc a
Trường hợp cuối cùng mà bạn cần phải biết được trong nguyên lý chồng chất lực điện này, đó chính là bài toán cho hạt điện q0 và tính tổng lực điện mà q1, q2 tác động lên hợp thành một góc a. Và để giải quyết được bài toán này thì điều đầu tiên bạn cần phải làm đó chính là tính ra các lực F10 và F20 như các trường hợp ở trên.
Công thức để giải quyết bài toán này cũng cực kỳ là đơn giản, bạn sẽ phải tính được cos của góc a/2. Sau khi đã tìm được cos, bạn sẽ lấy nó nhân với lực mà một hạt điện tích đã tác động lên q0. Và cuối cùng là lấy giá trị vừa tính được nhân thêm với 2 là xong, cực kỳ đơn giản, nhanh chóng.
Các kỹ năng cần có khi sử dụng định luật cu lông
Với các bài sử dụng định luật cu lông, việc ghi nhớ các công thức là vô cùng đơn giản, bởi những công thức này thì cực ngắn và nó chỉ xoay quanh vào một vài biến như điện tích, khoảng cách, … Tuy nhiên, để có thể tính toán được chính xác và giải quyết bài toán nhanh nhất, bạn cần phải củng cố cho mình các kỹ năng sau đây.
Kỹ năng nhớ tốt
Một kỹ năng để bạn có thể giải quyết mọi bài toán một cách nhanh nhất có thể, đó chính là có một trí nhớ tốt. Và để có thể làm được điều đó thì bạn cần phải làm những bài tập liên quan đến định luật Coulomb càng nhiều càng tốt. Từ đó, bạn có thể tự tin làm nó với thời gian nhanh nhất và không sợ bị sai vặt nữa.

Cẩn thận, không cẩu thả
Để có thể làm được một bài toán Coulomb với số điểm cao nhất, bạn cần phải rèn luyện cho mình kỹ năng cẩn thận. Trước hết, bạn phải cẩn thận trong việc tóm tắt lại bài toán và đổi hết các đơn vị đề bài cho về đơn vị quy chuẩn theo công thức. Như vậy bạn sẽ không bao giờ bị mất điểm trong những việc không đáng xảy ra này.
Tiếp đó, bạn cần phải trình bày cẩn thận nội dung mà mình đã làm. Như vậy thì không chỉ mình sẽ dễ dàng quan sát ý, nội dung mà mình đã làm mà người khác cũng dễ dàng theo dõi hơn.

Các dạng bài liên quan đến định luật cu lông
Định luật cu lông là một định luật vô cùng nổi tiếng và nó đã có trong chương trình giảng dạy của tất cả các trường trung học phổ thông ở nước ta. Vì vậy, chắc chắn nó sẽ xuất hiện bên trong những bài kiểm tra hay đề thi mà bạn sẽ gặp phải. Do đó, bạn cần phải hiểu được các phát biểu của định luật và các dạng bài liên quan sau đây.
Tính lực điện trong định luật cu lông
Dạng bài mà rất hay gặp phải khi đề bài có những câu hỏi liên quan đến định luật cu lông này, đó chính là tính lực điện. Với công thức nguyên lý chồng chất lực điện ở trên thì tin chắc bạn sẽ có thể dễ dàng tính được. Nhưng tuyệt đối bạn phải xác định thật chính xác trường hợp mà bài toán đưa ra nhé.
Tính điện tích, khoảng cách
Với các bài toán tính q thì tin chắc bất kỳ ai thuộc được công thức tính lực điện là đã có thể giải quyết cực kỳ nhanh chóng. Nhưng bạn cần phải lưu ý khi giải những bài toán như thế này, đó chính là phải đổi các đơn vị mà đề bài cho về đơn vị chuẩn của công thức nhé.
Tính điện trường
Điện trường cũng rất hay là một ẩn số được các đề bài liên quan đến định luật cu lông hỏi. Và để giải quyết được nó thì trước hết bạn sẽ cần phải tính ra được lực điện dựa trên các giả thuyết bài toán đã cho nhé. Sau khi đã tính được lực điện, bạn chỉ cần áp công thức là nó sẽ ra thôi.
Định luật cu lông – Tính hằng số điện môi
Trường hợp tính hằng số điện môi thì rất ít khi rơi vào khi đề bài liên quan đến định luật này nhưng nó không phải là không vào. Nhưng nếu đề bài có hỏi, thường sẽ có hết các số liệu và bạn chỉ cần áp vào công thức tính lực điện là đã có thể ra được đáp số.
Lời kết
Trên đây là những nội dung liên quan đến định luật cu lông – một phát minh vô cùng vĩ đại, ảnh hưởng rất lớn đối với lịch sử của toàn nhân loại do Coulomb sáng tạo. Mong rằng với những thông tin tổng quát được cung cấp đã giúp ích rất nhiều cho việc nâng cao sự hiểu biết của bạn.








Để xây dựng kiến thức học đường trong môi trường hiện nay cần phải có sự tác động nhiều chiều, từ nhiều chủ thể khác nhau.
Cùng theo dõi giaoduchocduong24h.net để có những thông tin đáng đọc nhé.
