Hợp chất vô cơ - một trong số các chất hóa học rất quan trọng. Trong cuộc sống hàng ngày,...
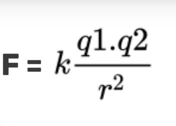
Read moreĐịnh luật cu lông, một trong những phát minh vô cùng vĩ đại của loài người, được nghĩ ra bởi...
Read moreNếu bạn đã từng học môn Hóa thì chắc hẳn cũng đã nghe đến định luật bảo toàn khối lượng....
Read more
Để xây dựng kiến thức học đường trong môi trường hiện nay cần phải có sự tác động nhiều chiều, từ nhiều chủ thể khác nhau.
Cùng theo dõi giaoduchocduong24h.net để có những thông tin đáng đọc nhé.